Mécanique Classique
La mécanique classique est la théorie d'Isaac Newton. C'est la théorie la plus commune, elle est utilisée dans la vie de tous les jours. Son application principale est liée à la loi de la gravitation universelle.
1. Loi de la gravitation universelle
La loi de la gravitation universelle de Newton suppose que deux objets de masse quelconque et à une distance quelconque ont une interaction entre eux. Cette interaction est une force, qui tend à approcher les deux masses l'une vers l'autre. Cette force peut être quantifiée par l'équation de la gravitation universelle, qui est la suivante :

où : ma et mb sont les masses respectives des objets, d est la distance entre les objets et G est la constante gravitationnelle d'une valeur de 6.673x10-11 N*m2/kg2
2. Vitesse de libération
La vitesse de libération d'un objet est la vitesse que l'objet doit atteindre pour échapper à la force de gravité exercée par un astre. Elle peut être déterminée par l'équation suivante :
où M est la masse de l'astre qui crée le champ gravitationnel, d est le rayon de l'astre et G la constante gravitationnelle.
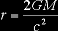
3. Rayon de Schwarzchild
L'expression algébrique du rayon de Schwarzchild se déduit de la mécanique classique. C'est le rayon minimal que peut avoir un astre quelconque pour que la vitesse de libération dépasse la vitesse de la lumière. En effet, si la vitesse de libération atteint la vitesse de la lumière (c), alors plus rien ne peut échapper à la force gravitationnelle de cet astre, y compris la lumière elle-même. Ce rayon peut être déterminé à l'aide de la formule suivante :

où M est la masse de l'astre qui crée le champ gravitationnel, c est la vitesse de la lumière et G la constante gravitationnelle.
On peut calculer le rayon de Schwarzchild pour tout objet, bien
que cela ne correspond à rien de concret.
On s'intéresse particulièrement au rayon de Schwarzchild des trous noirs. Tout objet
pourrait devenir un trou noir si sa masse était concentrée à l'intérieur de son rayon de
Schwarzchild. Par exemple, le rayon de Schwarzchild de la Terre est de 9mm.
Ainsi la Terre serait un trou noir si sa masse pouvait être comprimée dans ce rayon!
Une étoile morte devient ainsi un trou noir lorsqu'elle est suffisament compressée
pour atteindre son rayon de Schwarzchild.